提交新的问题
点此拍照题目
问题

问题1708: 三角形相似/直线方程

2025-09-05T01:03:16.png

已解决 · 初中数学
提问于2025年06月28日 · 阅读 2372

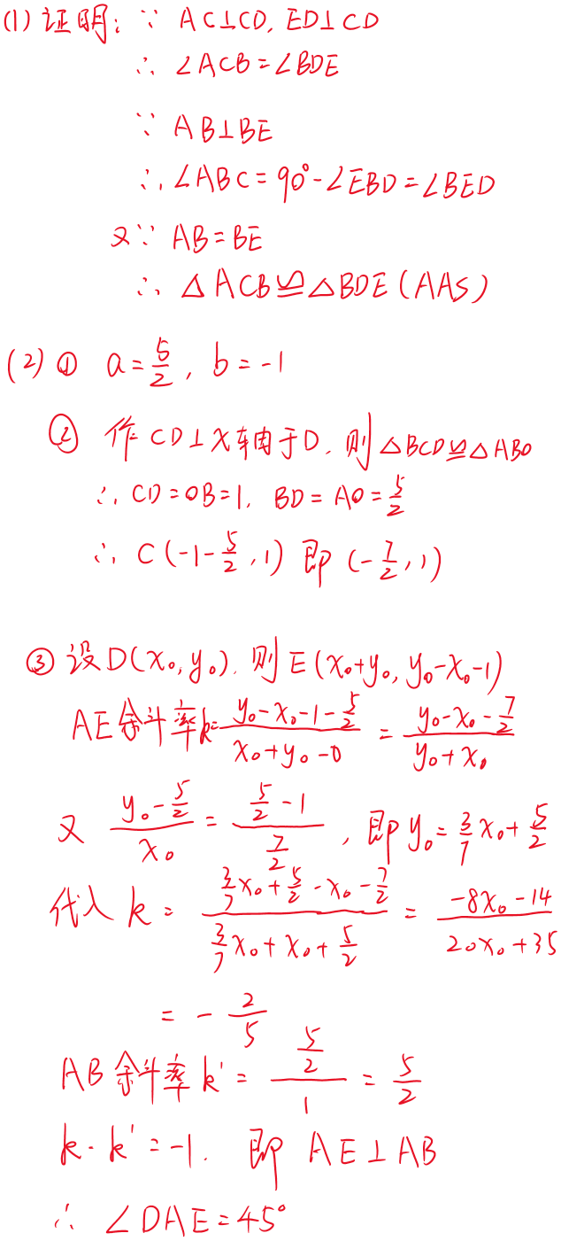
解答

2025-09-05T02:46:05.png


添加微信可以更快获取解答

最后修改于2025年09月05日

  1. 解答

添加新讨论

前一篇:问题1705: 一根铁丝正好可以围成一个边长为6厘米的正

下一篇:问题1710: 动点问题

相关文章