提交新的问题
点此拍照题目
问题

问题1763: 关于圆的平面几何问题

问题

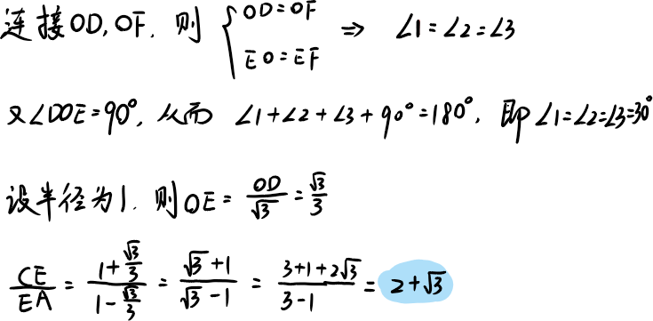
正方形 $ABCD$ 是 $\bigodot O$ 的内接正方形,点 $F$ 在劣弧 $AB$ 上,$DF$ 与 $AC$ 交于点 $E$,若 $OE = EF$,求 $\frac{CE}{EA}$ 的值。

已解决 · 初中数学
提问于2025年08月12日 · 阅读 665

解答

2025-08-15T01:07:30.png

 解答.png


添加微信可以更快获取解答

最后修改于2025年08月15日

添加新讨论

前一篇:问题1758: 求参数取值范围

下一篇:问题1765: 函数图像确定

相关文章