提交新的问题
点此拍照题目
问题

问题1767: 圆锥曲线-不知道这个步骤错在哪儿了


不知道这个步骤错在哪儿了

已解决 · 高中数学
提问于2025年08月17日 · 阅读 549

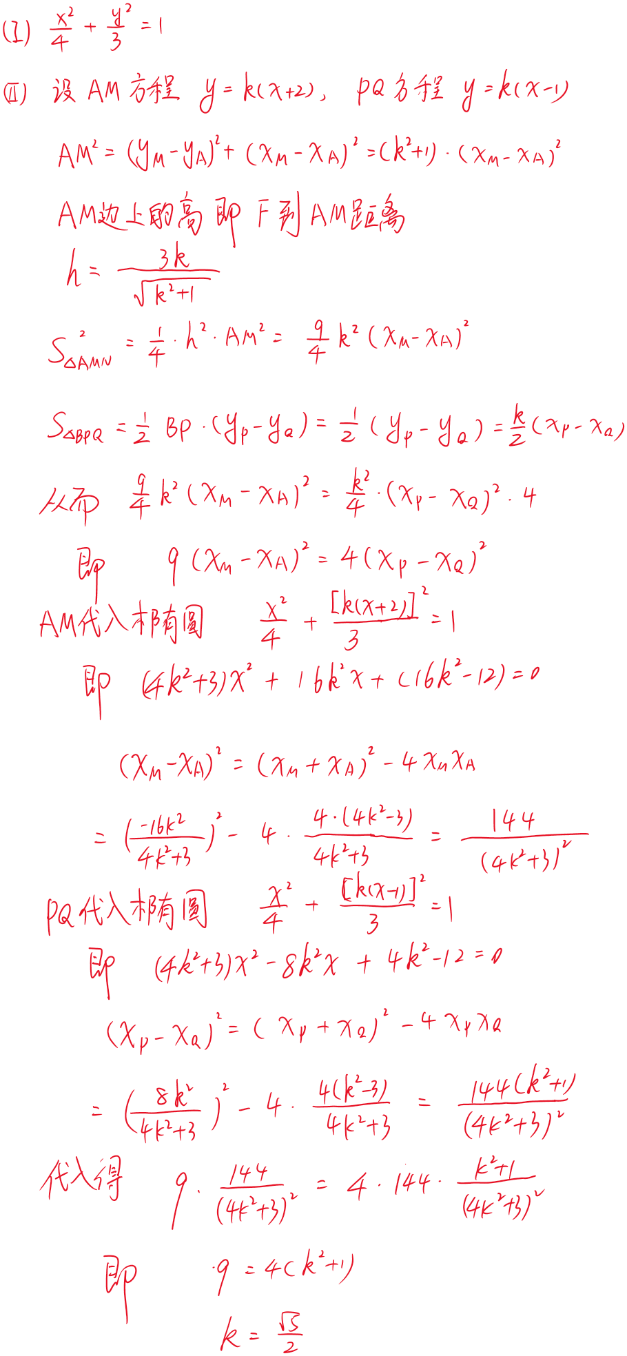
解答

P和Q的纵坐标是一正一负, 计算面积的时候应当加绝对值实际上应当是P和Q的纵坐标之差, 而不是和.

2025-08-17T03:16:04.png

参考解答:

2025-08-17T04:25:11.png


添加微信可以更快获取解答

最后修改于2025年08月17日

添加新讨论

前一篇:问题1766: 函数图形绘制

下一篇:问题1768: 平面向量

相关文章