提交新的问题
点此拍照题目
问题

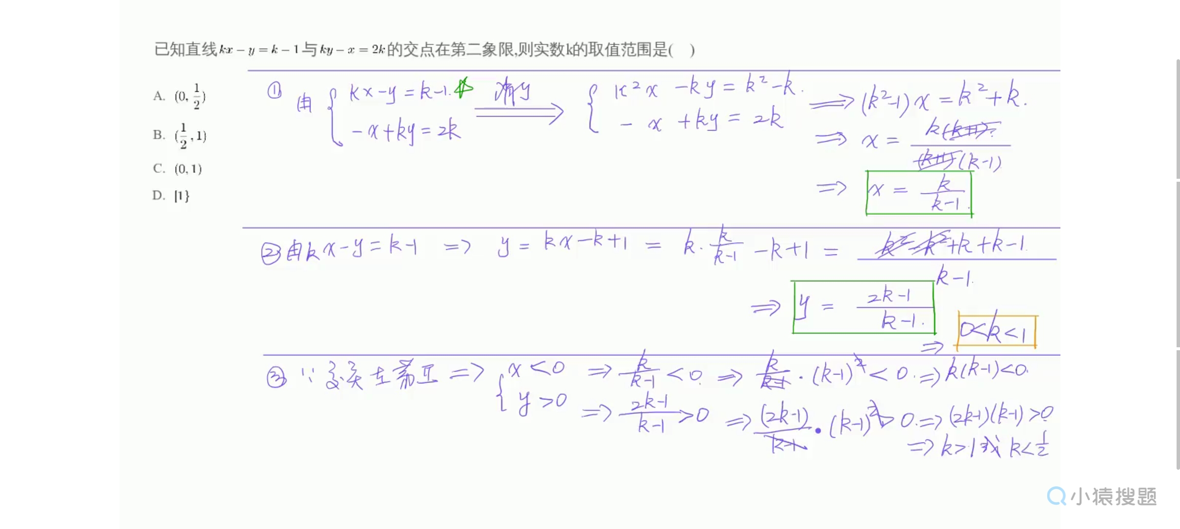
问题690: 老师最后为什么k<1/2


老师最后为什么k<1/2

待解决
提问于2024年08月14日 · 阅读 517

解答
等待解答

添加微信可以更快获取解答

最后修改于2024年08月14日

添加新讨论

前一篇:问题689:

下一篇:问题691: 最后为什么k<1/2

相关文章