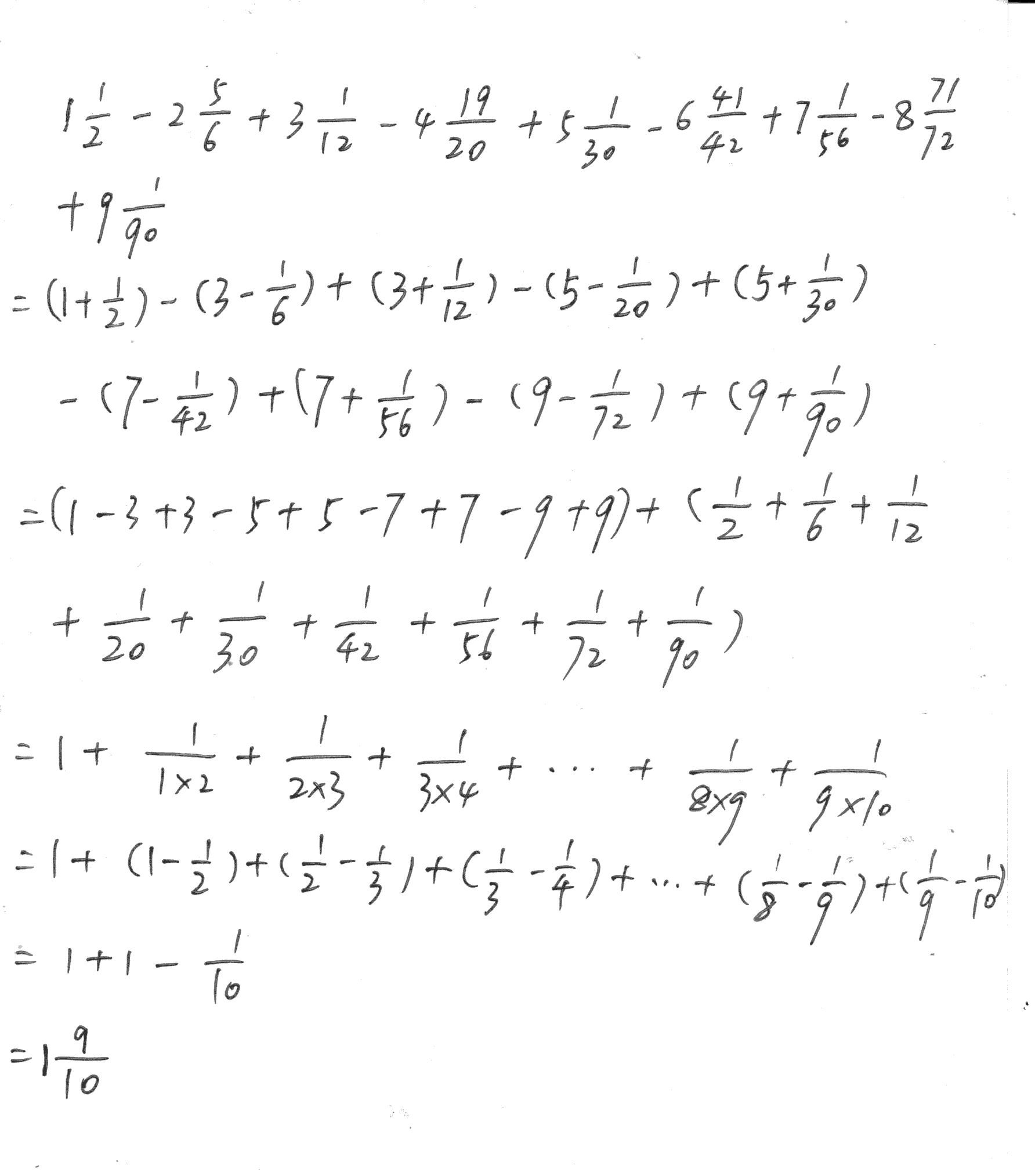
计算: 1(1)/(2)-2(5)/(6)+3(1)/(12)-4(19)/(20)+5(1)/(30)-6(41)/(42)+7(1)/(56)-8(71)/(72)+9(1)/(90)

计算: $1 \frac{1}{2}-2 \frac{5}{6}+3 \frac{1}{12}-4 \frac{19}{20}+5 \frac{1}{30}-6 \frac{41}{42}+7 \frac{1}{56}-8 \frac{71}{72}+9 \frac{1}{90}$

添加微信
可以更快获取解答
最后修改于2024年01月11日
前一篇:盘子里有 2023 粒珠子,甲、乙两人每次轮流取走 1 至 3 粒珠子,谁取到盘子里的最 后一柆珠子谁输,